虚拟校园
学校首页
本站首页
学校简介
学校概况
院系设置
专业介绍
分类招生
简章计划
考试大纲
高考统招
简章计划
录取公示
录取查询
专升本
走进电大
本站首页
招生动态
通知公告
服务指南
简章计划
通知公告
本站首页
>通知公告
正文
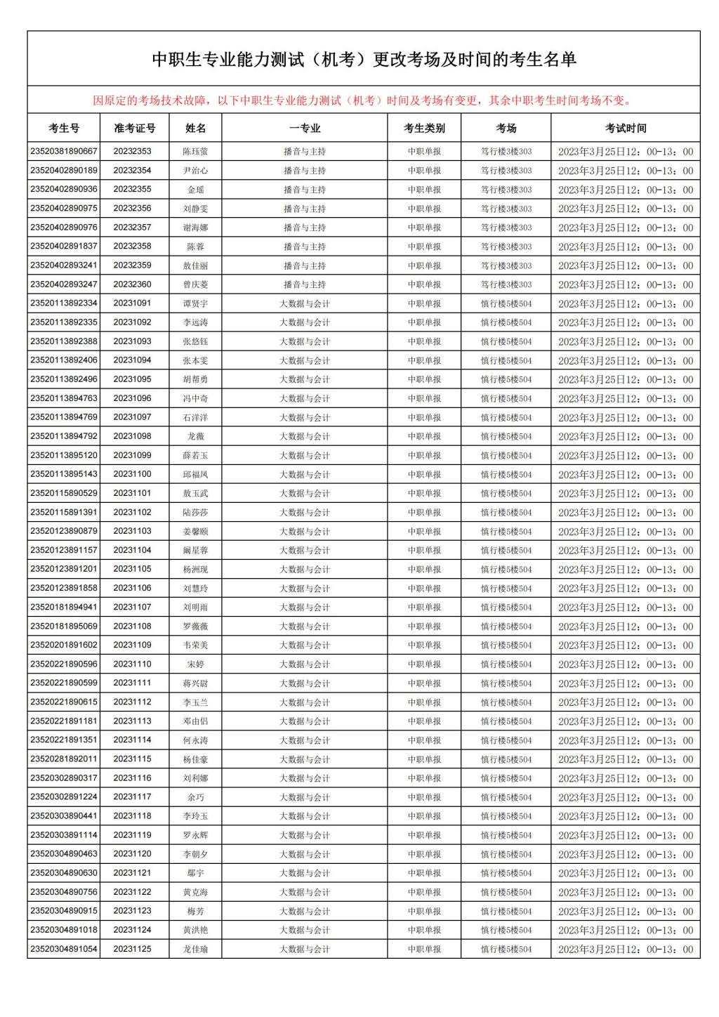
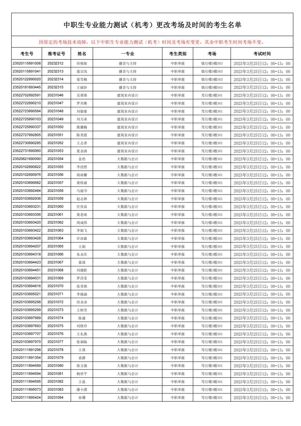
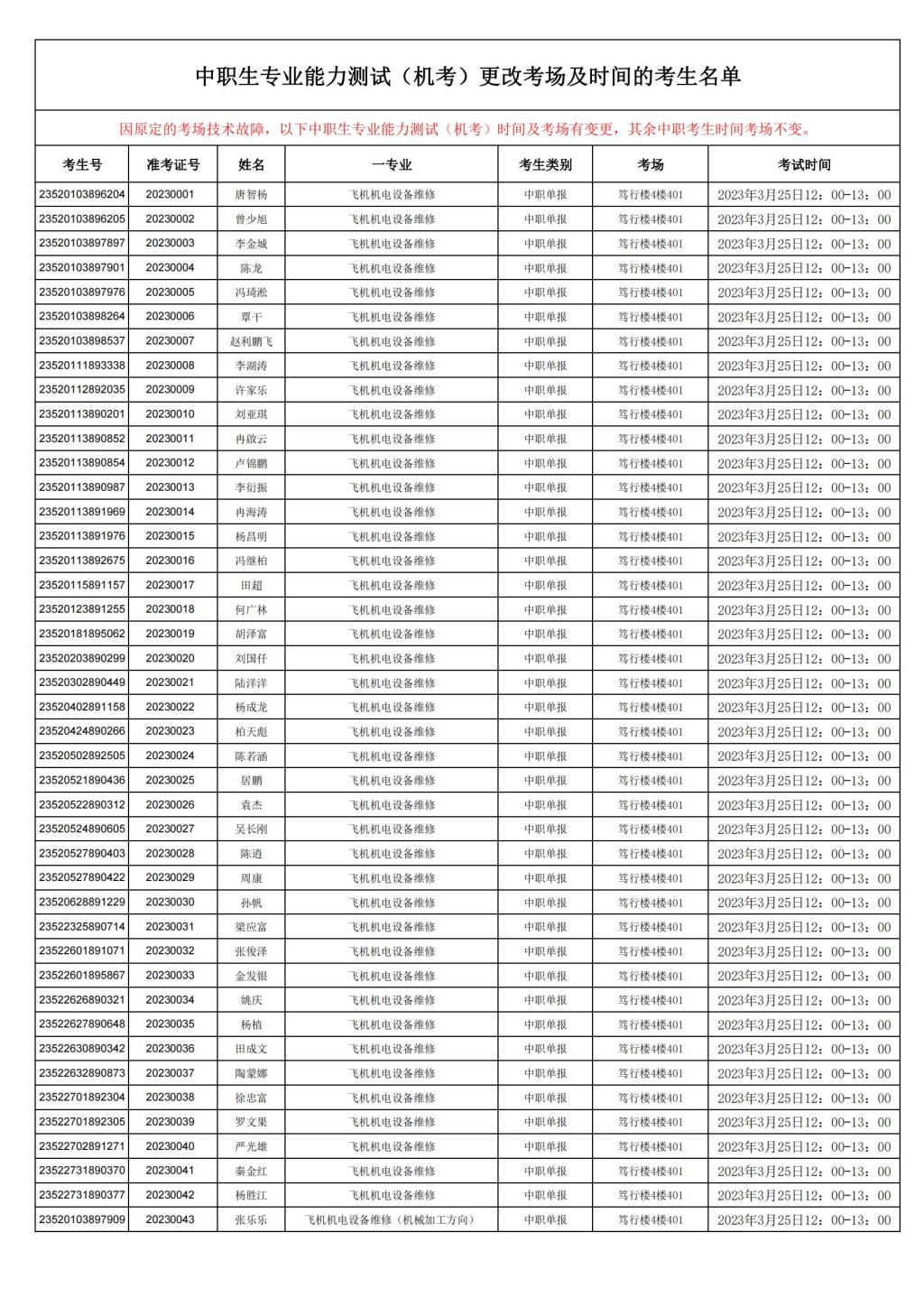
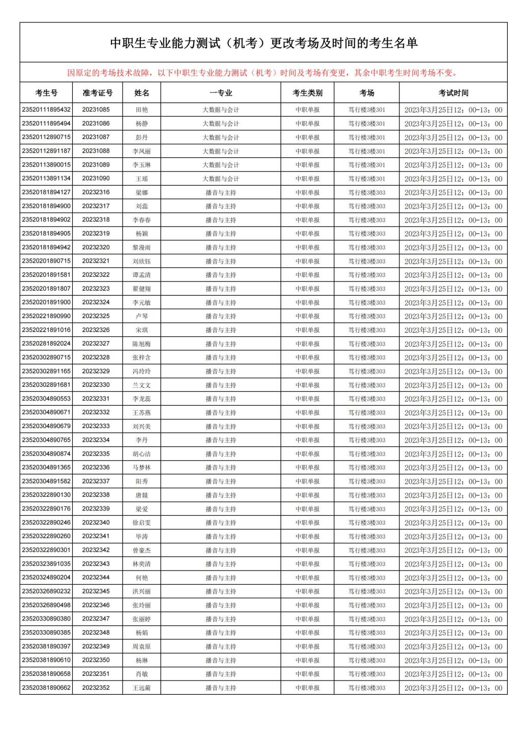
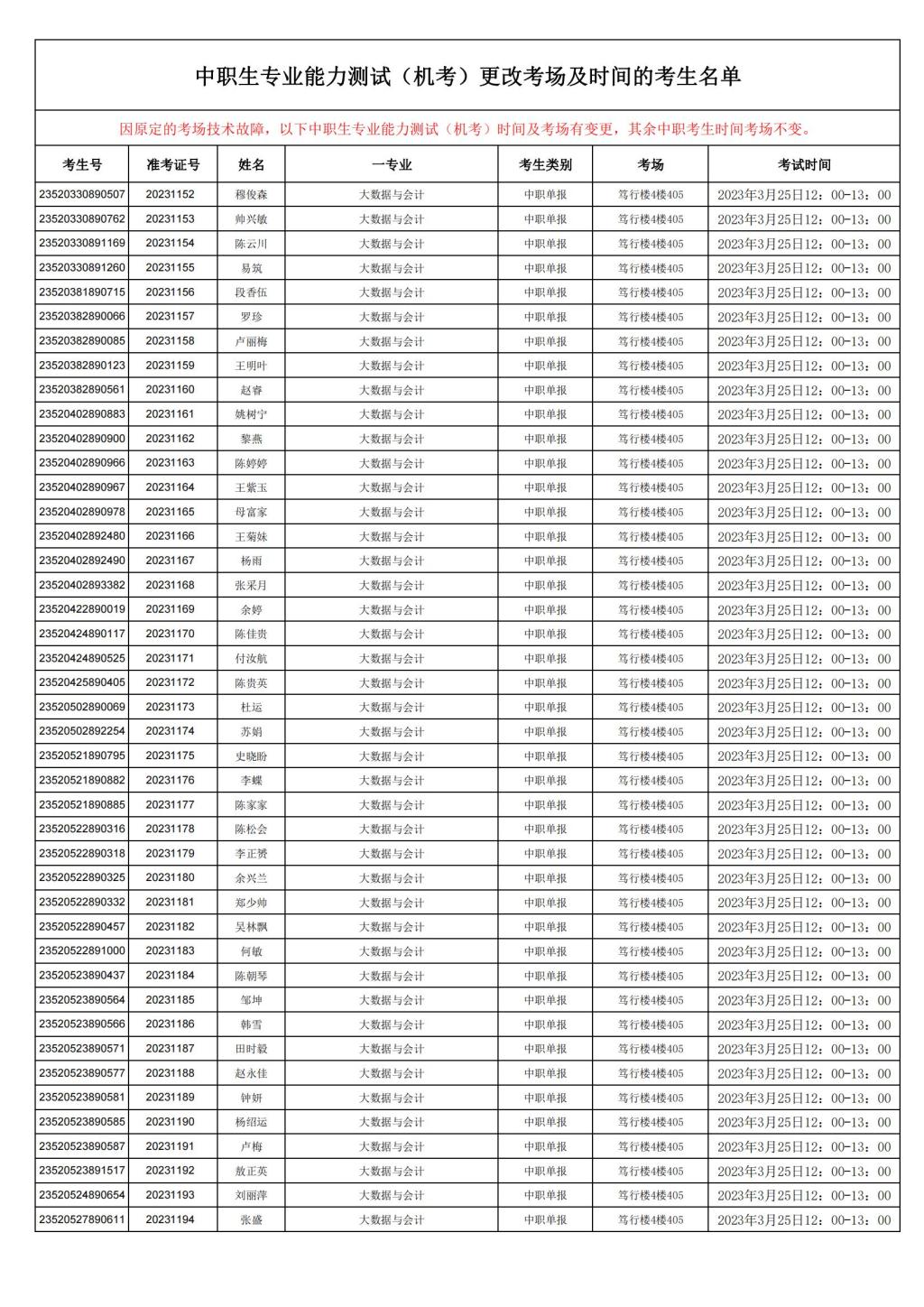
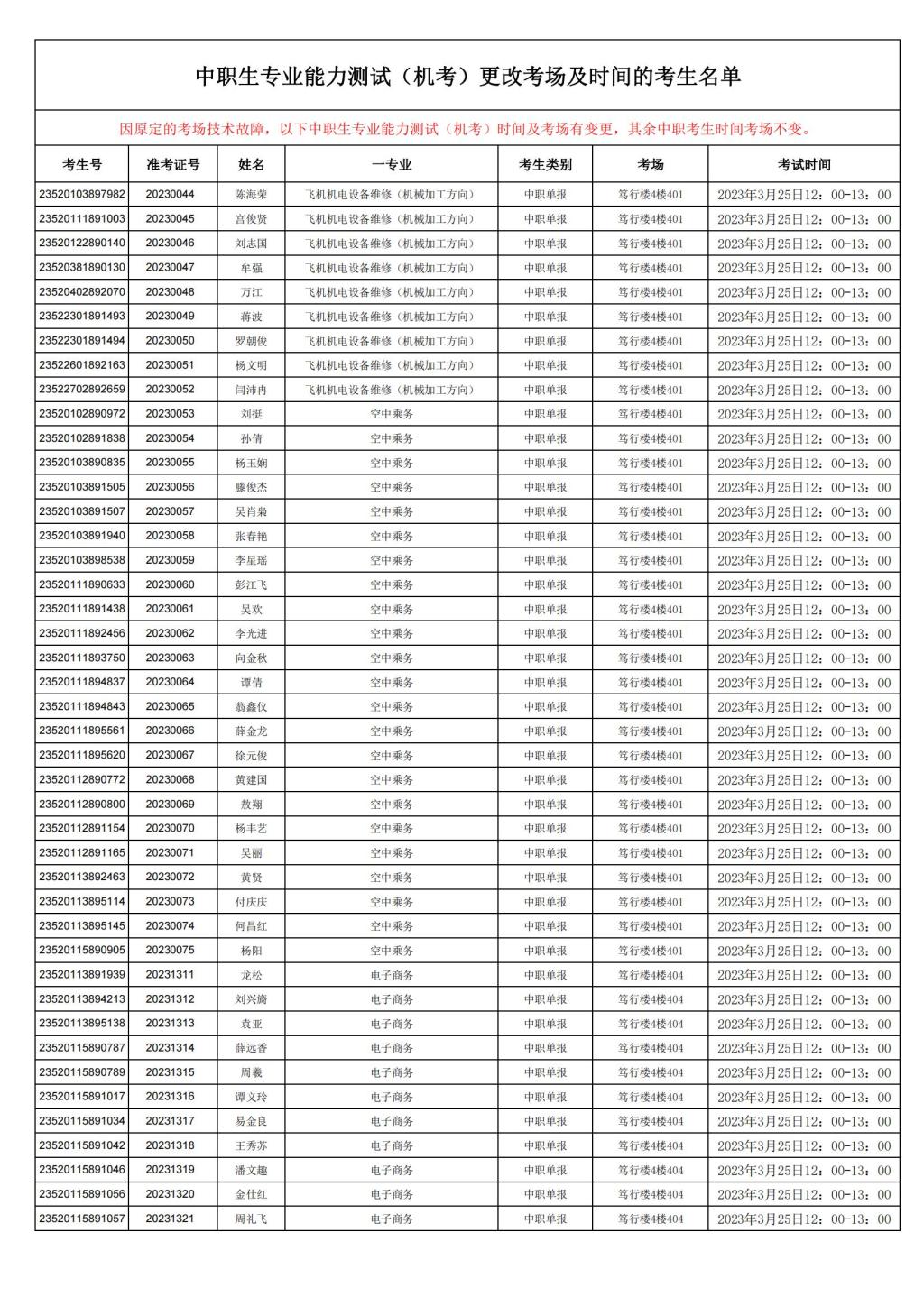
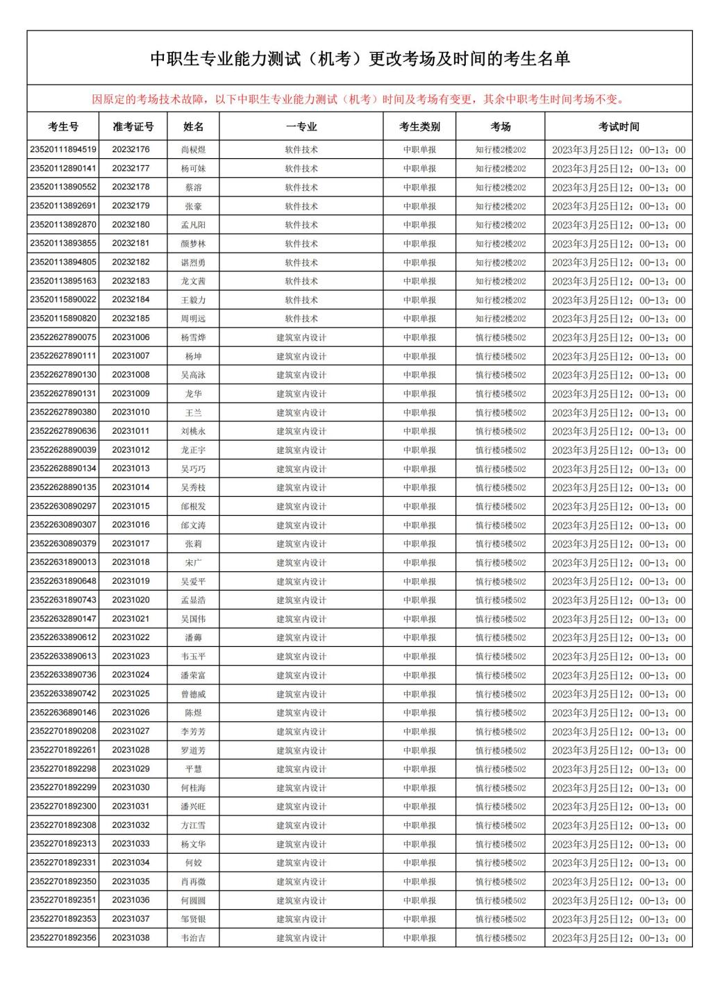
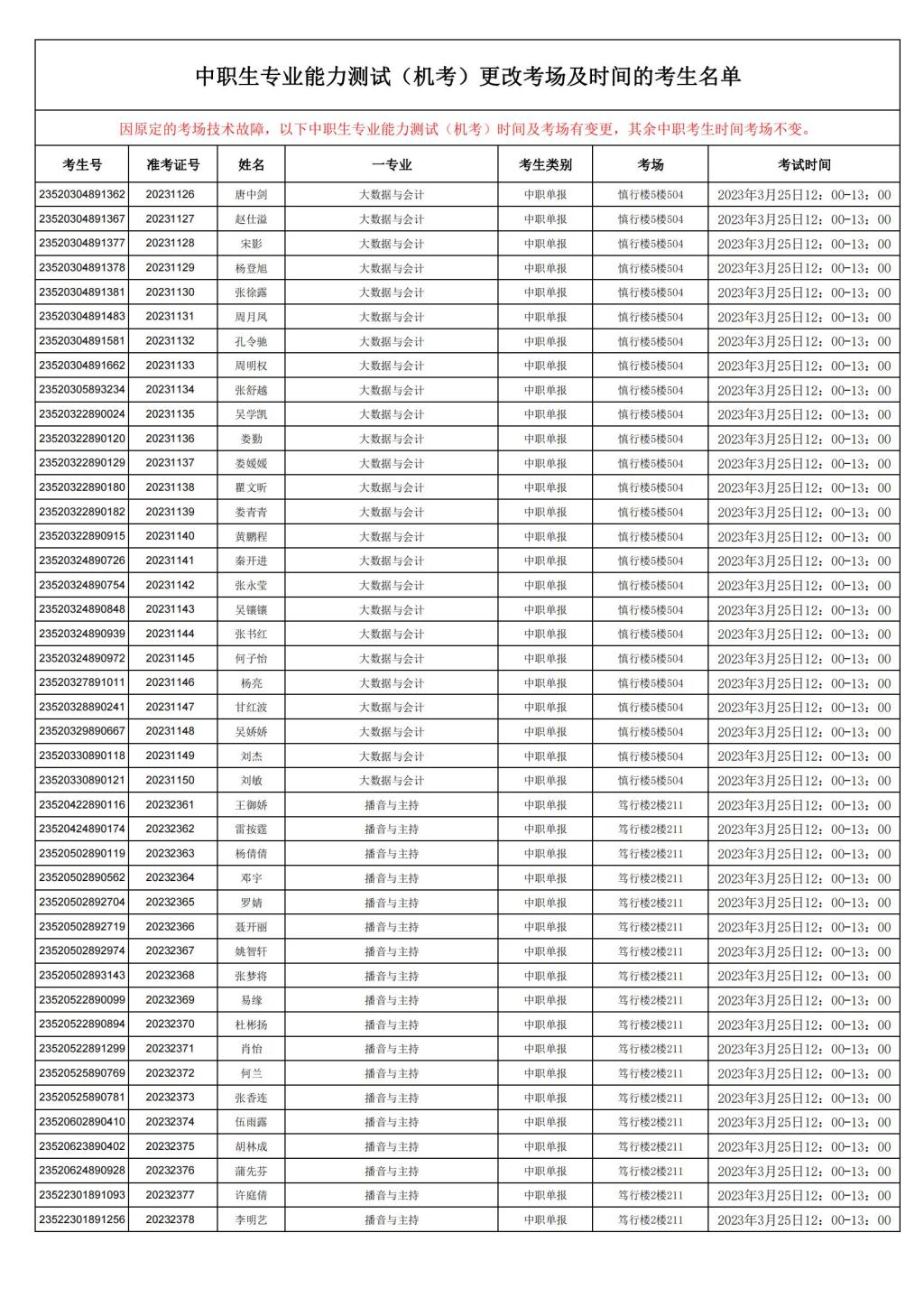
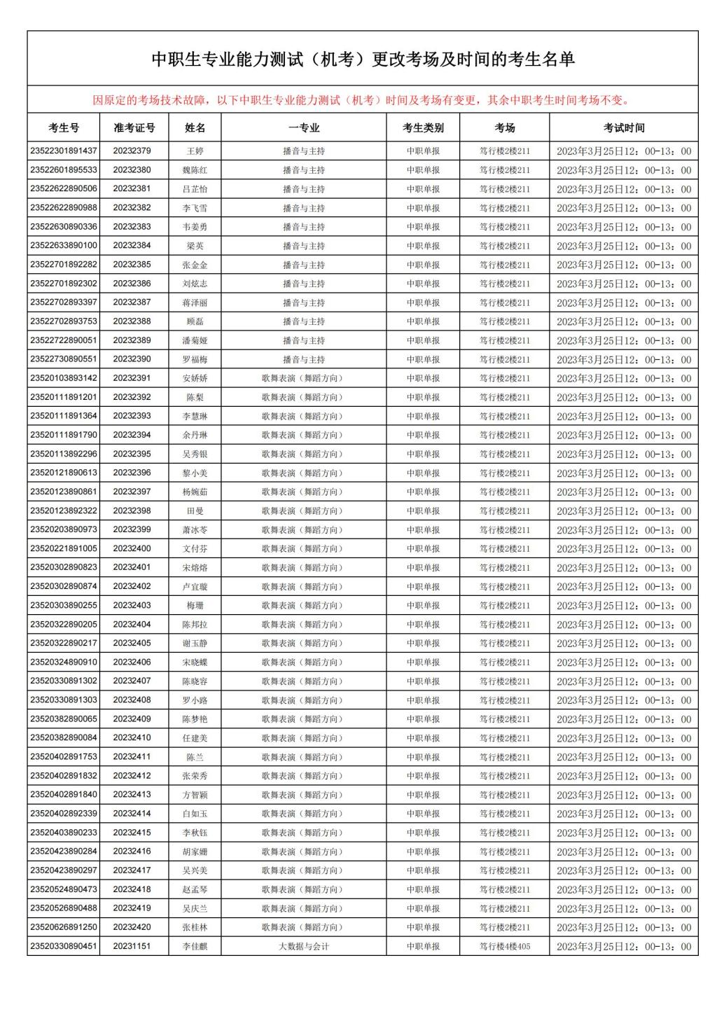
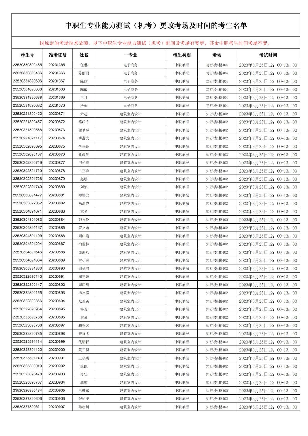
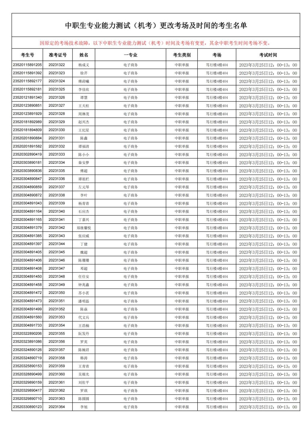
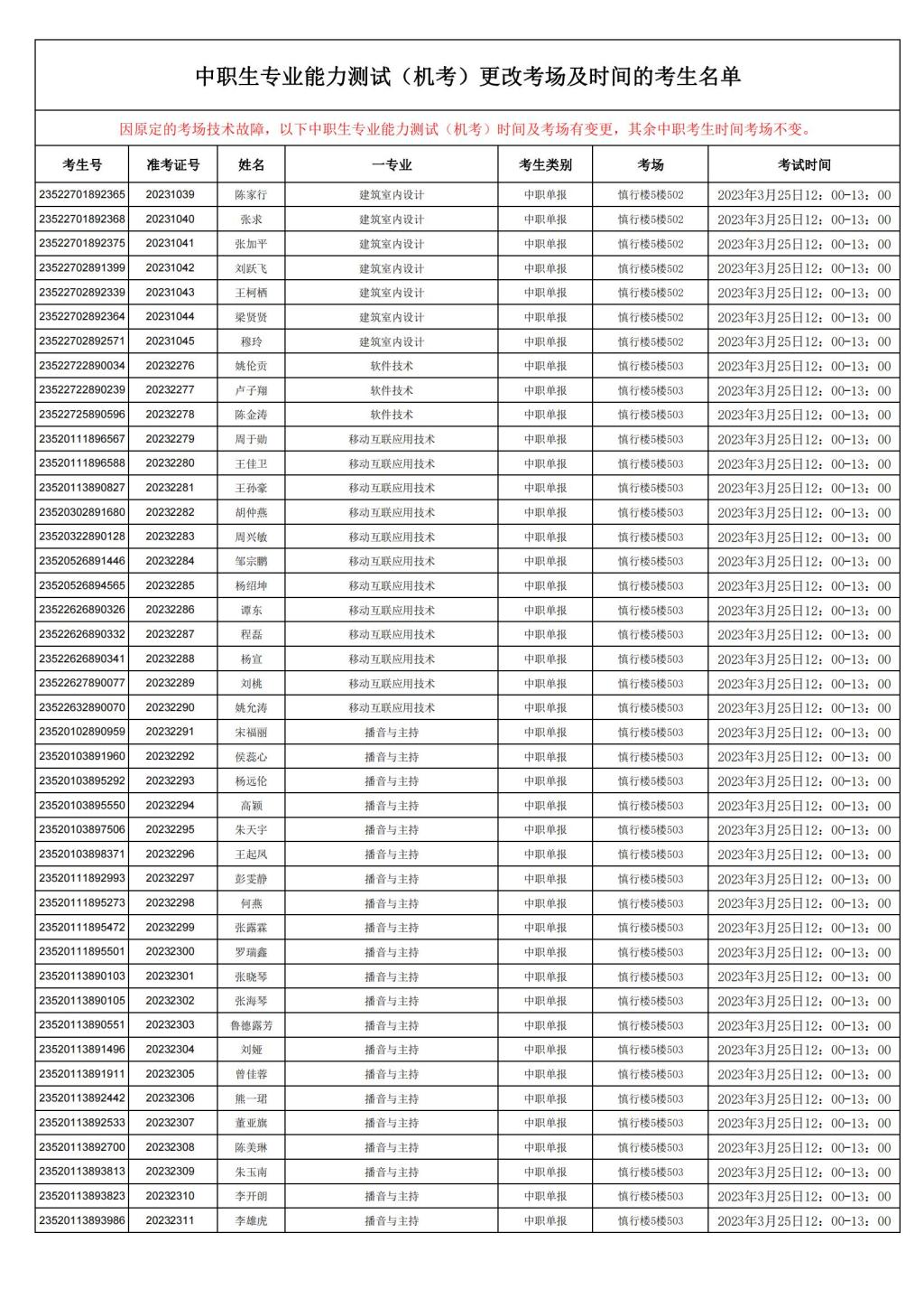
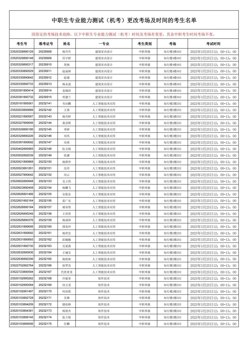
中职生专业能力测试(机考)更改考场及时间的考生名单
作者: 发布时间:2023年03月24日 21:03 来源:招生就业指导中心 点击:
紧急通知:因原定的考场技术故障,以下中职生专业能力测试(机考)时间及考场有变更,其余中职考生时间考场不变。
上一篇:贵州职院2023年分类考试第一次网上志愿填报拟录取名单公示
下一篇:贵州职业技术学院关于2-6专业填有特殊专业的学生面试相关提醒
0
相关链接
贵州省招生考试院
教育部阳光高考平台
贵州省教育厅